上泰SUNTEX余氯儀校準示值誤差測量值的不確定度計算分析
字號:T|T
文章來源:編輯:上海志榮時間:2017-09-18 15:59

上海志榮技術指導:上泰SUNTEX余氯儀校準示值誤差測量值的不確定度計算分析
一、 余氯儀測量模型
Δx = xi - xis
式中: Δx—儀器示值誤差,mg /L;
xi—各標準溶液測量結果平均值,mg /L;
xis—各標準溶液濃度標準值,mg /L。
示值誤差不確定度的方差按下式計算:

式中: u( Δx) —儀器示值誤差測量結果的不確定度,mg /L;
u( xi ) —各標準溶液測量結果平均值的不確定度,mg /L;
u( xis) —各標準溶液濃度標準值的不確定度,mg /L。
其中: c( xi ) = 1; c( xis) = - 1。
二、 余氯儀標準不確定度分量計算
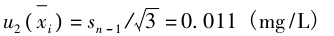
以某臺 HI93701 的測量結果為例計算,儀器示值誤差測量值的不確定度。
( 1 ) 各標準溶液測量值的平均值的不確定度 u( xi )儀器分辨力為 0. 01 mg /L,由此引起的量化不確定度為: u1 ( ) xi = 2. 9 × 10 - 3( mg /L)
以 1. 00 mg /L 的樣品測量值為例計算重復性,數據見表 1

表 1 重復測量數據
| 次數 | 1 | 2 | 3 | 4 | 5 | 6 | 平均值 |
| 測量值( mg /L) | 0. 99 | 1. 02 | 1. 04 | 1. 03 | 1. 00 | 1. 01 | 0. 99 |
( 2 ) 各標準溶液濃度標準值的不確定度 u( xis)
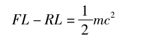
u( xis ) 由標準物質的不確定度、稱量的不確定度、玻璃量器的不確定度和溶液配置操作失誤引入的不確定度等組成。標準物質引入的不確定度為 urel 1 ( xis) = 0. 01% ; 稱度 c 向外排出。由于活塞與缸套之間、油液與缸套之間以及流量計各部件間存在摩擦,所以在推動活塞運動及向外排油過程中始終受到阻力 R 的作用。根據能量守恒定律,則有;

式中: F—作用在Ⅰ號活塞上的力;
R—所受阻力;
L—活塞行程;
m—Ⅲ號缸中油液質量;
c—油液排出的速度。
由于 F = ΔPA
m = ρAL
帶入式( 2) 中則有:

式中: Δp—活塞兩端壓力差;
A—活塞面積;
ρ—油液密度。
由式( 3) 可知,活塞兩端壓力差 Δp 與油品密度 ρ、排油速度 c 和阻力 R 成正比,若活塞運行及排油過程中所受阻力 R 遠小于作用在活塞上的力 F 時( R F ) ,可忽略阻力 R 的影響,則式( 3) 可簡化為:

上泰SUNTEX余氯儀校準示值誤差測量值的不確定度計算分析得出結論:
其泄漏量 Q 的大小與油液從流量計向外排出速度的二次方成正比。且從前面的分析可知,在一個相對穩定的時間段內流量計的圓環間隙、活塞直徑、間隙長度、偏心量、油液的動力粘度以及油液密度是基本保持不變的,唯有油液流速在加油過程中不斷變化,這也就是造成流量計泄漏的主要原因。可見,油液流速越快,造成的泄漏量就越大,流量計對外排量就越小,加油機的出油量就越小; 反之,油液流速越慢,泄漏量就越小,流量計對外排量就越大,加油機的出油量就越大。
文章標題:上泰SUNTEX余氯儀校準示值誤差測量值的不確定度計算分析(轉載請注明出處)
公司資訊
- 4月26日出售2臺上泰在線電導率EC-4110給杭州佳勁水處理工程
- 4月17日出售5套上泰405-60-SC電極天津市天一凈源廢水處理工程
- 祝賀鑫榮源環保科技向上海志榮采購5個上泰PC-350在線ph計
- 2017年國慶節法定節假日放假通知(包括中秋節)
- 祝賀上海志榮向北京中農信聯科技銷售一批SUNTEX上泰ec-4300電導率儀器
- 在線ph計報價最低的廠家
















